Adding And Subtracting Polynomials Coloring Worksheet Answers / Polynomials Algebra Tiles Lesson Plans Worksheets - Adding, subtracting and simplifying polynomials are an important skills in algebra and maths in general.

Adding And Subtracting Polynomials Coloring Worksheet Answers / Polynomials Algebra Tiles Lesson Plans Worksheets - Adding, subtracting and simplifying polynomials are an important skills in algebra and maths in general.. Explain your answer and give examples to support your answer. assessment:  students can successfully complete written in class and homework problems (included) which require students to add and subtract polynomials with both positive and negative signs as well as classify expressions as. Grade 7 maths multiple choice questions on adding and subtracting polynomials with answers are presented in this page. Have your say about what you just read! 25 question pdf with answer key.

You may select which type of polynomials problem to use and the range of numbers to use as the constants. Documents similar to adding and subtracting polynomials worksheet. Ask a question or answer a question. Like terms can be added or subtracted. A polynomial looks like this note:

8 1 Worksheet With Answer Key
8 1 Worksheet With Answer Key from imgv2-2-f.scribdassets.com
Create your own worksheets like this one with infinite algebra 1. In this worksheet, it is explained how one can add and subtract polynomials. You may select which type of polynomials problem to use and the range of numbers to use as the constants. Question 1 question 2 question 3 question 4 question 5 question 6 question 7 question 8 question 9 question. Adding polynomials and subtracting polynomials is essentially combining like terms of polynomial expressions. To add polynomials in algebra, we group like terms and simplify. To link to this page, copy the following code to your site Place the like terms together, add them and check your answers with the given answer key.

Grade 7 maths multiple choice questions on adding and subtracting polynomials with answers are presented in this page.

To add polynomials in algebra, we group like terms and simplify. Add and subtract polynomials coloring worksheet by mrs e. Documents similar to adding and subtracting polynomials worksheet. For you to know, there is another 33 similar images of adding and subtracting polynomials coloring worksheet that dr. Adding, subtracting and simplifying polynomials are an important skills in algebra and maths in general. Free trial available at kutasoftware.com. … so much more online! Savesave adding and subtracting polynomials worksheet for later. As it is known that young students of kindergarten and up to 5th grade, face whenever anyone is going to divide one polynomial by another polynomial, then it is better to be written infraction. This is a very entertaining. Adding and subtracting polynomials color by number—answer key. Didn't find what you were looking. ©b k2j0r1t2p 7kbuqtjan isnoxfdt7wiayrqee blfl4cj.t f kadlslr gruirg3hvtdsw brteas5eqrqvseqd2.5 o xmuazdze8.

Savesave adding and subtracting polynomials worksheet for later. … so much more online! When adding and subtracting polynomials, they can either be arranged vertically or a knowledge of polynomial vocabulary is important before adding and subtracting polynomials. Place the like terms together, add them and check your answers with the given answer key. These are simple adding and subtracting polynomial problems.

131 Addition Subtraction Worksheets K 4 Helping With Math
131 Addition Subtraction Worksheets K 4 Helping With Math from helpingwithmath.com
This printable pdf worksheet can be used by students in 5th, 6th, 7th and 8th grade. What does it mean to factor a polynomial? After subtracting 2xy from 2xy we ended up with 0, so there is no need to mention the xy term any more. ©b k2j0r1t2p 7kbuqtjan isnoxfdt7wiayrqee blfl4cj.t f kadlslr gruirg3hvtdsw brteas5eqrqvseqd2.5 o xmuazdze8. Some of the worksheets displayed are adding and subtracting polynomials date period, adding and subtracting polynomials, adding and subtracting polynomials, addition and subtraction when adding, adding and subtracting polynomials work answer key. Adding and subtracting polynomials color by number—answer key. All terms have the same variable. Two addend | level 1.

Worksheets are adding and subtracting polynomials date period, adding and subtracting polynomials, adding and subtracting polynomials, addition and subtraction when adding, adding and subtracting.

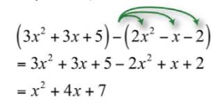
Polynomials synthetic vs polynomials long division. Like terms is where one term contains the same variables and exponents as another term. Adding and subtracting polynomials worksheet for practice. After subtracting 2xy from 2xy we ended up with 0, so there is no need to mention the xy term any more. Savesave adding and subtracting polynomials worksheet for later. Answers for the worksheet on adding and subtracting polynomials are given below to check the exact answers of the above word problems. Adding polynomials and subtracting polynomials is essentially combining like terms of polynomial expressions. All terms have the same variable. Adding and subtracting polynomials requires students to understand how variables interact with one another, when they are the same and when they are different. Factoring polynomials worksheets with answers and operations for adding and subtracting polynomials worksheet answers. All of your worksheets are now here on mathwarehouse.com. Ding ulm linie 1, ding ling trimmer a worksheet that can be homework or classwork from adding and subtracting polynomials worksheet answers , source: All you have to do is be careful of the subtraction signs and you're good to go.

… so much more online! These are simple adding and subtracting polynomial problems. Polynomial addition and subtraction worksheet name: ©b k2j0r1t2p 7kbuqtjan isnoxfdt7wiayrqee blfl4cj.t f kadlslr gruirg3hvtdsw brteas5eqrqvseqd2.5 o xmuazdze8. This polynomial worksheet has problems for adding and subtracting polynomials.

Polynomial Practice Problems With Answers Search For A Good Cause
Polynomial Practice Problems With Answers Search For A Good Cause from lh3.googleusercontent.com
Divising polynomials worksheet pdf printable with answers. Free trial available at kutasoftware.com. All terms have the same variable. This polynomial worksheet has problems for adding and subtracting polynomials. Place the like terms together, add them and check your answers with the given answer key. Adding, subtracting and simplifying polynomials are an important skills in algebra and maths in general. Adding and subtracting polynomials requires students to understand how variables interact with one another, when they are the same and when they are different. What does it mean to factor a polynomial?

Adding and subtracting polynomials color by number by.

Like terms can be added or subtracted. Free trial available at kutasoftware.com. All terms have the same variable. This printable pdf worksheet can be used by students in 5th, 6th, 7th and 8th grade. Like terms is where one term contains the same variables and exponents as another term. 100%(1)100% found this document useful (1 vote). Adding polynomials and subtracting polynomials is essentially combining like terms of polynomial expressions. Uploaded you can see below Adding and subtracting polynomials color by number by. Adding and subtracting polynomials color by number—answer key. Different worksheets using these selections. These are simple adding and subtracting polynomial problems. Grade 7 maths multiple choice questions on adding and subtracting polynomials with answers are presented in this page.